在汽车领域,电磁兼容性(EMC)问题一直备受瞩目。相较于传统汽车,新能源汽车的EMC挑战更为显著,对总线接口芯片的EMC性能提出了更高的要求。为了实现卓越的EMC表现,除了芯片本身的优化设计外,芯片外围电路的精心设计与完善同样至关重要。
本篇博文将重点探讨CAN芯片外围电路的参考设计,以助力提升整体EMC性能,如下图所示:

共模电感独具特性,它在共模信号下呈现高阻抗,而在差模信号下则表现为低阻抗。这一特性使其在抑制共模噪声干扰方面表现出色。在汽车CAN网络中,共模电感的应用对于提升系统的EMC性能起到了关键作用。它不仅能有效滤除系统通过CAN总线自身发射的干扰噪声,降低对其他系统的潜在影响,还能抑制其他系统产生的干扰噪声对CAN总线通信的干扰,确保通信的稳定与可靠。
如下图所示,展示了NOVOSENSE CAN收发器在EMI测试中的结果对比。通过对比总线加共模电感(CMC)和不加CMC的测试结果,可以明显观察到CMC对于抑制通过CAN总线发射出的电磁干扰具有显著效果。

在实际选型过程中,我们需关注CMC的多个关键特性,包括电感值、漏感(leakage inductance)、直流电阻(DC resistance)以及模式转换特性(mode conversion characteristics),以确保所选CMC能够最优化地满足系统的EMC需求。
1.1、电感值
在选取CMC电感值时,我们首要考虑的是其对总线共模噪声的抑制能力。为了有效抑制共模噪声,CMC在共模噪声频率处应具备尽可能高的电感值,从而呈现高阻抗状态,阻止噪声传播。然而,电感值的选择并非越大越好,过大的电感值会带来尺寸和成本上的挑战。
综合考虑,针对500kbps的CAN通信,推荐使用51uH电感值的CMC;而对于2Mbps的CAN FD通讯,则建议采用100uH电感值的CMC,以实现共模噪声的有效抑制并兼顾尺寸与成本。
1.2、泄漏电感
泄漏电感,亦称为差模电感,对差模信号具有一定的抑制效果。然而,过大的泄漏电感可能会引发CAN信号的振铃现象,从而干扰CAN总线的正常通讯。与此同时,适量的泄漏电感又能有效抑制CAN总线中的差模电流,进而提升系统的整体EMI性能。
因此,在权衡泄漏电感的影响时,我们应确保其既能发挥差模抑制作用,又不至于在总线信号上产生显著的振铃,确保CAN总线的正常通讯不受干扰。适度的泄漏电感对于优化系统性能是有益的。
1.3、直流电阻
共模电感的直流电阻对总线信号的损耗具有直接影响。随着直流电阻的增大,总线信号的损耗也会相应增加,从而导致传输效率降低。因此,在确定了共模电感的电感值之后,选择直流电阻尽可能小的CMC显得尤为重要。
这样做可以有效减少总线信号的损耗,提高信号传输效率,确保CAN总线通信的稳定性和可靠性。
1.4、CMC的模式转换特性
共模电感的模式转换特性揭示了其上下线圈的对称程度,这一特性通过Ssd12/Sds21参数来衡量。当Ssd12/Sds21参数的差异较大时,意味着模式转换特性更为显著,可能表明CMC的上下线圈存在较大的不对称性。这种不对称性会在CAN总线通信过程中引入额外的共模噪声,从而降低CMC的EMI滤波效能。因此,在选择CMC时,我们应倾向于选择那些Ssd12/Sds21参数接近的器件,以优化EMI性能。
如下图所示的DLW32SH101XF2阻抗与频率特性曲线,清晰地展示了CMC在共模噪声频率下的高共模阻抗Zc,这有助于有效抑制共模噪声。同时,在CAN总线通信频段内,CMC保持了较低的差模阻抗Zd,确保在抑制共模噪声的同时,不会对总线的正常通讯造成不利影响。

在CAN网络的正常通信过程中,若总线遭遇异常故障,例如短路至BAT或Vcc,CMC的存在可能导致总线上产生接近或超出总线耐受电压的瞬态电压。对于NOVOSENSE系列的CAN收发器而言,此类因总线短路而在CMC上产生的瞬态过压,恰好满足芯片总线引脚内部ESD防护电路的启动条件。
因此,由CMC感生的过压能量将通过内部ESD防护电路得到完全泄放,确保芯片免受任何损害,从而保障了收发器的可靠性和稳定性。
2、终端分立电阻
在包含多个节点的CAN网络中,我们依靠总线将各个CAN收发器的CANH和CANL引脚连接起来以实现通信。通常,在首端节点和末端节点的总线上会分别并联一个电阻,其阻值通常与总线的特征阻抗相匹配。这个电阻的主要作用包括以下几点:
匹配总线特征阻抗,阻止信号反射,保证信号传输质量
CAN总线的特征阻抗通常为120Ω,而CAN收发器在隐性状态下的总线差分输入电阻高达数十kΩ。当发射节点的信号通过总线传输至接收节点时,由于阻抗不匹配,信号会发生反射,进而导致总线信号出现振铃现象。这种振铃不仅会影响CAN网络的正常通信,还可能引起数据误判或通信中断。
为了解决这个问题,在接收端并联一个与总线特征阻抗相匹配的电阻(通常为120Ω)是一个有效的解决方案。这样做的目的是吸收信号到达接收端时多余的能量,从而避免振铃的产生。通过这种方式,可以显著提高信号的传输质量,确保CAN网络的稳定运行。
总线负载电阻在45Ω~70Ω范围之间,提升总线的抗干扰性能
CAN收发器的输入差分电阻阻值高达数十kΩ,在总线隐性状态下,这一较高的电阻值使得外部轻微的干扰能够通过它并在总线上产生足够的差分电压,从而可能改变总线的状态。为了避免这种情况,我们需要在总线处并联一个阻值相对较小的电阻。
这个并联电阻的作用是吸收外部干扰,防止其在总线上形成显性差分电压。同时,在选择这个并联电阻的值时,还需要考虑CAN收发器的总线输出电压范围。为了确保整个系统的兼容性和稳定性,这个节点的外部等效负载电阻应控制在45Ω到70Ω之间。这样既可以有效地吸收外部干扰,又不会对CAN收发器的正常工作造成不良影响。
加速总线信号下降沿,确保总线快速切入隐性状态
总线显隐切换的过程实质上是对寄生电容的充放电过程。当没有并联终端电阻时,从显性状态切换到隐性状态,总线寄生电容只能通过CAN收发器内部高达几十kΩ的电阻进行放电。这样的放电过程相对缓慢,导致信号下降沿不够陡峭。在高速通讯的网络环境中,这种缓慢的信号下降可能会影响CAN的正常通讯。
为了解决这个问题,通过在CAN总线上并联一个阻值较小的匹配电阻,可以显著加速放电过程,使总线信号的下降沿更加迅速,从而实现总线状态从显性到隐性的快速切换。如图2.5和2.6所示,对比了未加终端电阻和加上终端匹配电阻时的CAN总线波形,可以清晰地看到,加入匹配电阻后,信号下降速度明显加快,有助于提高CAN网络的通讯质量。
如下图所示,未安装终端匹配电阻时,总线的电平在从显性状态切换至隐性状态时下降缓慢,几乎占据了整个隐性bit位时间(通讯速率为1Mbps),这可能导致CAN通讯异常。然而,当添加了终端匹配电阻后,电平下降速度加快,总线波形更为理想。
为了进一步提高CAN收发器的EMC性能,我们建议采用将单个终端匹配电阻分成两个相等电阻串联的方式,并在中间节点通过电容连接至GND。这种连接方式不仅为总线上的共模干扰提供了额外的路径,有效降低了总线共模噪声的影响,而且还构成了一个RC低通滤波器,能够滤除一些高频噪声干扰。对于位于CAN网络中的某些中间节点,也可以采用这种端接电阻方法,以进一步提升信号质量。

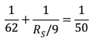
如下图所示,中间节点终端电阻阻值应满足使得整个CAN 网络的总线电阻在45Ω-70Ω之间。

例如在一个11节点的 CAN 网络中,RT取124Ω,若总线负载等效电阻值取50Ω,则根据以下公式,可以近似计算得到RS阻值约为2.3kΩ,则RS/2为1.15kΩ。同时为了保持CANH和CANL两条路径的对称,避 免产生新的共模噪声,应选择精度比较高的电阻,尽可能使得阻值一致。

为了提升CAN总线的EMC性能,除了在总线上加装CMC和采用分立终端匹配电阻的方法外,还可以分别在CANH和CANL上添加对地电容。这种方法能够有效滤除总线上的高频噪声,从而在一定程度上提高CAN总线的EMC性能。
然而,在选择对地电容值时,需要综合考虑多种因素。如果电容值过大,可能会导致总线信号衰减,上升和下降时间延长,缩短bit时间,从而影响总线的正常通讯。此外,对地电容容值与信号源的阻抗所组成的RC低通滤波器的截止频率应高于CAN总线的通讯速率,以确保CAN总线的正常通讯。
因此,在选择合适的对地电容时,需要综合考虑总线长度、节点数量、通讯速率等因素。通常情况下,对于2Mbps的CANFD通讯,建议总线对地电容不超过100pF。
4、ESD保护二极管
在汽车或工业应用中,对于具有外部连接接口的系统,安装和维护过程中可能积累过量的电荷。这些电荷通过接口线缆流入模块,其放电能量可能高达数十千伏。在这种情况下,位于接口端的接口芯片会受到严重损害,可能导致系统无法正常工作。因此,保护接口收发器免受ESD(静电放电)影响对于系统应用至关重要。
尽管CAN收发器芯片内部已设计有相关的ESD保护电路,但由于受限于芯片尺寸,总线端的ESD防护能力通常不足以应对某些环境下的ESD冲击。因此,需要使用外部ESD保护二极管来增强系统端的ESD防护能力。瞬态电压抑制(TVS)二极管是一种常用于外部ESD防护的器件。
对于 TVS 管的选取,除了要考虑其瞬时响应特性,能快速泄放瞬间大能量,我们还应注意以下几个参数:
反向关断电压(VRWM)
反向关断电压参数反映了TVS管在非导通状态下的最大承受电压。在CAN总线正常运行时,TVS管应保持截止状态。一旦CAN总线遭遇异常过压,达到TVS管的击穿电压,TVS管便会迅速从高阻态切换到低阻态,将总线上的瞬时过流引导至地,从而保护CAN收发器和总线。因此,为确保CAN总线的正常通讯不受影响,TVS管的反向关断电压必须高于CAN总线的正常工作电压。通常情况下,TVS管的反向关断电压应高于CAN收发器总线的共模电压工作范围。
击穿电压(VBR)
V_BR 表征 TVS 管通过一定电流时的两端电压,在这个电压下,TVS 管呈现低阻抗特性。一般情况下 V_BR 会略高于 V_RWMo。
钳位电压(VCL)
V_CL表示在峰值脉冲电流下TVS管能够达到的最大钳位电压值。对于CAN总线系统来说,确保TVS管的VCL值低于CAN总线的绝对最大额定电压(AMR)是至关重要的,以避免对CAN收发器造成潜在损害。
峰值脉冲功率(P_PP)
峰值脉冲功率为峰值脉冲电流与钳位电压Va的乘积,Pp越大,在给定最大钳位电压条件下,TVS管的瞬态浪涌电流吸收能力越大,TVS管的ESD保护效果越好。因此,在选择V的前提下,应选择Pp较大的TVS管。
电容(Cd)
Cd表征在一定频率下TVS管的寄生电容大小。在CAN总线应用中,为了确保CAN总线通讯频率不受影响,应选择具有较低寄生电容的TVS管,以避免对总线信号产生较大衰减,从而保证通信质量。
TVS管应尽量放置在模块的对外连接处,以便快速将外部能量泄放到地,提高保护效果。此外,TVS管的走线应尽可能短,以减少线路的寄生电感和阻抗影响。寄生电感可能导致VCL电压的增加,而走线阻抗则会降低TVS管对浪涌能量的泄放能力。
转载请注明:可思数据 » 车规级CAN总线外围电路设计方案
免责声明:本站来源的信息均由网友自主投稿和发布、编辑整理上传,或转载于第三方平台,对此类作品本站仅提供交流平台,不为其版权负责。本网站对有关资料所引致的错误、不确或遗漏,概不负任何法律责任。若有来源标注错误或侵犯了您的合法权益,请作者持权属证明与本站联系,我们将及时更正、删除,谢谢。联系邮箱:elon368@sina.com


